跳至内容

扭矩系数对拧紧扭矩的影响

2025年9月3日
扭矩系数对拧紧扭矩的影响
Kevin Lin

概述:主要介绍下扭矩系数K和夹紧力F,扭矩T之间的关系。


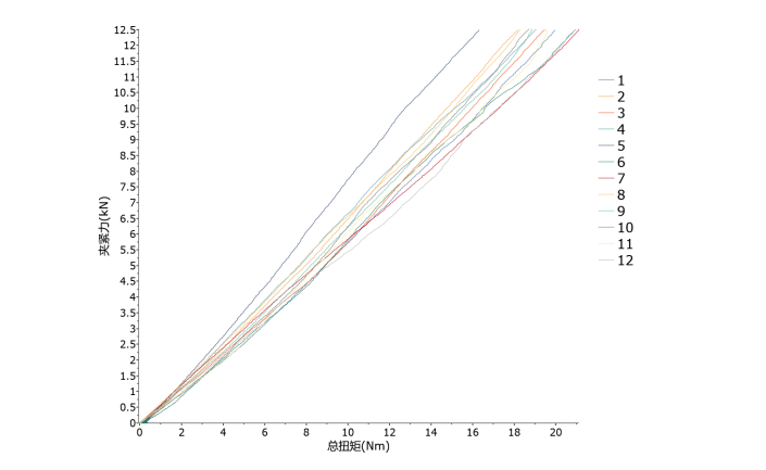
拧紧扭矩T和扭矩系数K的关系


设计使用螺栓进行紧固的时候,我们主要关注的是夹紧力/预紧力F。但在实际的组装过程中,主要通过拧紧扭矩T来控制。他们之间的关系可以用下面的表达式来关联:

T=F·d·K   

其中K为扭矩系数,d为螺栓的公称直径,F为夹紧力/预紧力。扭矩系数K会受到很多因素的影响,例如螺纹副的表面粗糙度,螺栓端面与物体表面的粗糙度,润滑,温度等等。在润滑温度等条件都一直的情况下,扭矩系数主要受摩擦系数影响。






News
几种常见的螺栓拧紧方法