Skip to Content

欢迎!

Welcome

注册

此问题已终结

根据商家的回复,使用本色件测试会更准确,应该不会有太多的偏差,可能油渍的影响对测试结果有影响。


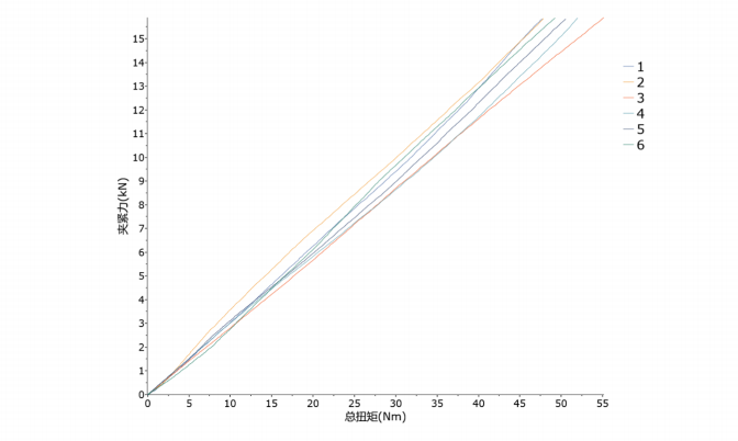
1、对比实验

(样品:全螺纹六角头螺栓 型号:L2010128006 规格:M8*35  批次:KT20240916G)

在其他条件都不变的情况下,实验A使用本色件进行摩擦系数测试。实验B使用对手件(螺母)进行摩擦系数测试。


实验前发现对手件表面有油污,且螺纹内部有油污。(且对手件末端攻丝后有残留,攻丝不到位,螺栓无法完全通过,拧入距离不长暂无无影响)。咨询商家后,说清洁后更好。实验前已用无水酒精清洗,并用无尘布擦拭,电热吹风干燥。



2、测试结果

实验序号1、2、5为实验A结果(使用本色件进行摩擦系数测试)。实验序号3、4、6为实验B结果(使用对手件(螺母)进行摩擦系数测试)。其中5、6实验为交替测试结果,间接测试重复性。

整体评价:使用本色件和使用对手件测试结果无太大差异。(商家说本色件的强度会远高于螺栓,建议短螺栓使用本色件测试)


3、油渍对实验结果的影响

同样的产品,在清理对手件(本色件)上的油污后的测试结果对比。结果显示本色件上的油污会影响到测试的结果。(下图中红色框内为存在油污情况下测试的结果、橙色框为清洗过油污的测试结果)



4、不同批次产品摩擦系数是否有区别


相同条件下,测试的某相同产品,但批次不同(镀锌厂家不同)产品,摩擦系数有比较明显的区别。


形象
丢弃
相关帖文 回复 查看 活动
0
5月 25
123
0
6月 25
111
1
5月 25
74
1
5月 25
286
0
6月 25
1258